53. Ultrasonic Formation of Highly Concentrated Aqueous Dispersion of Fullerene–Polymer Nanoparticles by Charge Transfer

52. Unique Complex Structure and Mechanism of Physisorption of Defect-Free Cyclic Poly(ethylene glycol) onto Gold Nanoparticles

53. Ultrasonic Formation of Highly Concentrated Aqueous Dispersion of Fullerene–Polymer Nanoparticles by Charge Transfer

52. Unique Complex Structure and Mechanism of Physisorption of Defect-Free Cyclic Poly(ethylene glycol) onto Gold Nanoparticles

51. Structural study of two polymer chains of poly(2-methoxyethyl glycidyl ether)-b-poly(2-ethoxyethyl glycidyl ether) thermoresponsive block copolymers using molecular dynamics simulations

50. Molecular Dynamics Calculations for the Temperature Response of Poly(alkylated tri(ethylene oxide)isocyanate) Aqueous Solution

49. All-Atom Molecular Dynamics Simulations of the Temperature Response of Poly(glycidyl ether)s with Oligooxyethylene Side Chains Terminated with Alkyl Groups

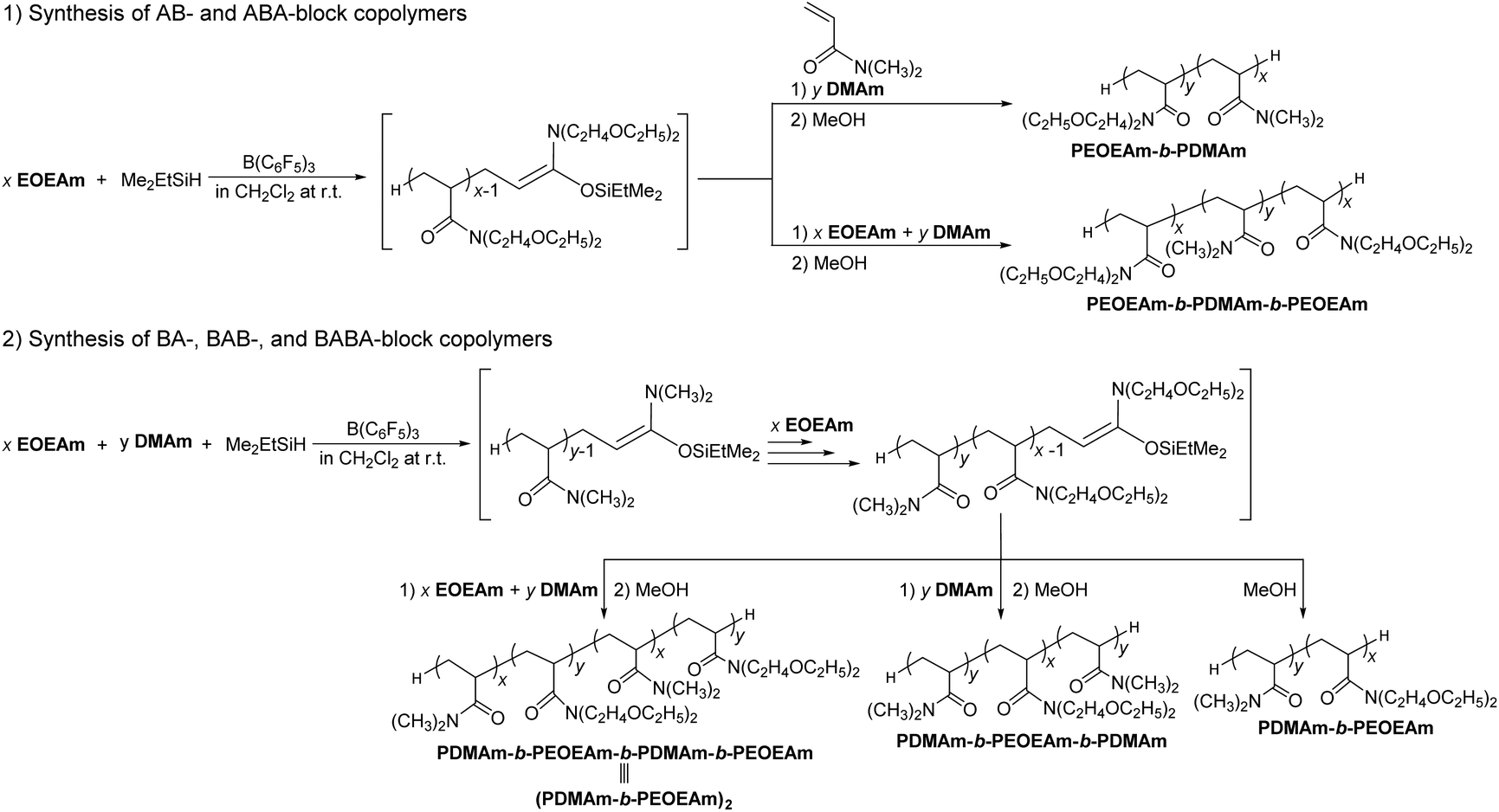
48. Thermoresponsive Property of Poly(N,N-bis(2-methoxyethyl)acrylamide) and Its Copolymers with Water-Soluble Poly(N,N-disubstituted acrylamide) Prepared Using Hydrosilylation-Promoted Group Transfer Polymerization

47. Organocatalytic Group Transfer Polymerization of N,N-Diethylsorbamide Leading to trans-1,4-Addition Polymer: Controlled/Living Nature Applied to the One-Pot Synthesis of Block Copolymer with Poly(N,N-dimethylacrylamide)

46. Thermoresponsive property of poly(N,N-bis(2-ethoxyethyl)acrylamide) and its multiblock copolymers with poly(N,N-dimethylacrylamide) prepared by hydrosilylation-promoted group transfer polymerization

45. Hydrosilylation-Promoted Group Transfer Polymerization of Ethyl Sorbate: A Controlled/Living System Applied to the Synthesis of an α-End Functionalized Polymer and a Triblock Copolymer with a (Meth)acrylate Polymer

44. One-pot catalyst-switching synthesis of thermoresponsive amphiphilic diblock copolymers consisting of poly(N,N-diethylacrylamide) and biodegradable polyesters

43. Size Control and Enhanced Stability of Silver Nanoparticles by Cyclic Poly(Ethylene Glycol)

42. Polyether/Polythioether Synthesis via Ring-Opening Polymerization of Epoxides and Episulfides Catalyzed by Alkali Metal Carboxylates

41. Synthesis of Hyperbranched Polyester via Ring-Opening Alternating Copolymerisation of Epoxide with Cyclic Anhydride having a Carboxyl Group

40. Tailored Solid-State Carbohydrate Nanostructures Based on Star-Shaped Discrete Block Co-Oligomers

39. Fabrication of Ultrafine, Highly Ordered Nanostructures using Carbohydrate-Inorganic Hybrid Block Copolymers

38. Improving the Mechanical Properties of Polycaprolactone Using Nanofibrillated Bacterial Cellulose with Super Long Fibers as a Filler Material
37. Precision synthesis for well-defined linear and/or architecturally controlled thermoresponsive poly(N-substituted acrylamide)s

36. Topology and Sequence-Dependent Micellization and Phase Separation of Pluronic L35, L64, 10R5, and 17R4: Effects of Cyclization and the Chain Ends

35. PEGylation of silver nanoparticles by physisorption of cyclic poly(ethylene glycol) for enhanced dispersion stability, antimicrobial activity, and cytotoxicity

34. Amphiphilic diblock copolymers of poly(glycidol) with biodegradable polyester/polycarbonate. organocatalytic one-pot ROP and self-assembling property

33. Poly[glycidyl oligo(oxyethylene)carbamate]s (PGn-EOmR′ and R-PGn-EOmR′): controlled synthesis and effects of molecular parameters (n and m), side groups (R′), and end-groups (R) on thermoresponsive properties

32. Topology-Dependent Interaction of Cyclic Poly(ethylene glycol) Complexed with Gold Nanoparticles against Bovine Serum Albumin for a Colorimetric Change

31. Cyclization of PEG and Pluronic Surfactants and the Effects of the Topology on Their Interfacial Activity

30. Effect of hydrogen–deuterium exchange in amide linkages on properties of electrospun polyamide nanofibers

29. 環状高分子がつくる特殊な表面 (Unique Surfaces Formed with Cyclic Polymers)

28. 環状ポリエチレングリコールを用いた金ナノ粒子の分散安定化 (Dispersion Stabilization of Gold Nanoparticles Using Cyclic Poly(Ethylene Glycol)

ナノ学会刊行和文誌 The Bulletin of the Nano Science and Technology, 2021, 19 .
27. Molecular configuration-mediated thermo-responsiveness in oligo(ethylene glycol) derivatives attached on gold nanoparticles
26. Metal-Organic Frameworks for Practical Separation of Cyclic and Linear Polymers

Angewandte Chemie, 2021, anie.202102794
https://onlinelibrary.wiley.com/doi/10.1002/anie.202102794
25. Enhanced dispersion stability of gold nanoparticles by the physisorption of cyclic poly(ethylene glycol)

Nature Comm., 2020, 11 , 6089
https://10.1038/s41467-020-19947-8
24. Thermoresponsive properties of poly(N-isopropyl,N-methylacrylamide) and its statistical and block copolymers with poly(N,N-dimethylacrylamide) prepared by B(C6F5)3-catalyzed group transfer polymerization
Poly. Chem., 2020, 13 , 2346
https://doi.org/10.1039/D0PY00015A
23. Isolation of poly[d-lactate (LA)-co-3-hydroxybutyrate)]-degrading bacteria from soil and characterization of d-LA homo-oligomer degradation by the isolated strains
Poly. Deg and Stab., 2020, 179 , 109231
https://doi.org/10.1016/j.polymdegradstab.2020.109231
22. Switching of Fluorescent Zn/Cd Selectivity in N,N,N′,N′-Tetrakis(6-methoxy-2-quinolylmethyl)-1,2-diphenylethylenediamine by One Asymmetric Carbon Atom Inversion

Inorg. Chem., 2020, 59(8) , 5313
https://doi.org/10.1021/acs.inorgchem.9b03304
21. DFT approach to the pathway of conformational changes of cellulose C6-hydroxymethyl group with simple cellotetraose model involving the mechanism of mercerization process

Chem. Phys. Lett., 2020, 742 , 137154
doi.org/10.1016/j.cplett.2020.137154
20. Core-First Synthesis and Thermoresponsive Property of Three-, Four-, and Six-Arm Star-Shaped Poly(N,N-diethylacrylamide)s and Their Block Copolymers with Poly(N,N-dimethylacrylamide)

Macromolecules, 2019, 52 , p 7207
https://doi.org/10.1021/acs.macromol.8b02245
19. B(C6F5)3-Catalyzed Group Transfer Polymerization of Acrylates Using Hydrosilane: Polymerization Mechanism, Applicable Monomers, and Synthesis of Well-Defined Acrylate Polymers

Macromolecules, 2019, 52 , p 844
DOI:10.1021/acs.macromol.9b01407
18. Micelle Structure Details and Stabilities of Cyclic Block Copolymer Amphiphile and Its Linear Analogues

17. A Programmed ESA-CF Polymer Folding with Periodically-Positioned Tetrafunctional Telechelic Precursors by Cyclic Ammonium Salt Units as Nodal Points

J. Am. Chem. Soc., 2019, 141 , pp 7526-7536
DOI:10.1021/jacs.9b02459
16. Methoxy-substituted tetrakisquinoline analogs of EGTA and BAPTA for fluorescence detection of Cd2+
Dalton Transactions, 2019, 12 , pp 3840-3852
DOI: 10.1039/C8DT04735AA
15. Synthesis, Isolation, and Properties of All Head-to-Tail Cyclic Poly(3-hexylthiophene): Fully Delocalized Exciton over the Defect-Free Ring Polymer

Macromolecules, 2018, 51 (22), pp 9284-9293.
DOI: 110.1021/acs.macromol.8b01681
14. Design and synthesis of thermoresponsive aliphatic polyethers with a tunable phase transition temperature

13. TQOPEN (N,N,N′,N′-Tetrakis(2-quinolylmethyl)-3-oxa-1,5-pentanediamine) Family as Heptadentate Fluorescent Cd2+ Sensors

Inog. Chem., 2017, 56 (13), pp 7404-7415
DOI: 10.1021/acs.lnogchem.7b00560
12. Load-Induced Frictional Transition at a Well-Defined Alkane Loop Surface

Langmuir, 2017, 33 (9), pp 2396-2401
10.1021/acs.langmuir.6b04042
11. Synthesis of Well-Defined Three- and Four-Armed Cage-Shaped Polymers via “Topological Conversion” from Trefoil- and Quatrefoil-Shaped Polymers

Macromolecules, 2017, 50 (1), pp 97-106.
DOI: 110.1021/acs.macromol.6b02316
10. Formation and Properties of Vesicles from Cyclic Amphiphilic PS-PEO Block Copolymers

Langmuir, 2016, 32 (40), pp 10344-10349.
DOI: 10.1021/acs.langmuir.6b03148
9. Synthesis of Cyclic Polymers and Characterization of Their Diffusive Motion in the Melt State at the Single Molecule Level
8. ESA-CF Synthesis of Linear and Cyclic Polymers Having Densely Appended Perylene Units and Topology Effects on Their Thin-Film Electron Mobility

Macromolecules, 2016, 49 (16), pp 5831-5840.
DOI: 10.1021/acs.macromol.6b01225
7. Synthesis and Thermoresponsive Property of Linear, Cyclic, and Star-Shaped Poly(N,N-diethylacrylamide)s Using B(C6F5)3-Catalyzed Group Transfer Polymerization as Facile End-Functionalization Method

Macromolecules, 2016, 49 (11), pp 4076-4087.
DOI: 10.1021/acs.macromol.6b00637
6. Construction of Hybrid-Multicyclic Polymer Topologies Composed of Dicyclic Structure Units by Means of An ESA-CF/Click-Linking Protocol

Macromolecules, 2016, 49 (11), pp 4076-4087.
DOI: 10.1021/acs.macromol.6b00637
5. Topological “interfacial” polymer chemistry: Dependency of polymer “shape” on surface morphology and stability of layer structures when heating organized molecular films of cyclic and linear block copolymers of n-butyl acrylate-ethylene oxide

J. Polym. Sci., B, Polym. Phys., 2016, 54, pp 486-498.
DOI: 10.1002/polb.23936
4. Hydrogel Formation by the 'Topological Conversion' of Cyclic PLA-PEO Block Copolymers

3. Light- and Heat-Triggered Reversible Linear-Cyclic Topological Conversion of Telechelic Polymers with Anthryl End Groups

J. Am. Chem. Soc., 2016, 138, pp 3904-3911.
DOI: 10.1021/jacs.6b00800
2. B(C6F5)3-Catalyzed Group Transfer Polymerization of N,N-Disubstituted Acrylamide Using Hydrosilane: Effect of Hydrosilane and Monomer Structures, Polymerization Mechanism, and Synthesis of α-End-Functionalized Polyacrylamides

Macromolecules, 2016, 49(8), pp 3049-3060.
DOI: 10.1021/acs.macromol.6b00190
1. OFF-ON-OFF fluorescent response of N,N,N',N’-tetrakis(1-isoquinolylmethyl)-2-hydroxy-1,3-propanediamine (1-isoHTQHPN) toward Zn2+
Dalton Transactions, 2016, 45, pp 7250-7257.
DOI: 10.1039/C6DT00506C
299. Synthesis of AB block and A2B2 and A3B3 miktoarm star-shaped copolymers using ω-end-functionalized poly(methyl methacrylate) with a hydroxyl group prepared by organocatalyzed group transfer polymerization
Poly.Chem. , 2015, 27, pp. 7841 - 7850. (DOI: 10.1039/C5PY01112D)
298. Influence of Helical Structure on Chiral Recognition of Poly(phenylacetylene)s Bearing Phenylcarbamate Residues of L-Phenylglycinol and Amide Linkage as Pendants
Chirality, 2015, 27, pp. 500 - 506. (DOI: 10.1002/chir.22453)
297. Diphenyl Phosphate-Catalyzed Ring-Opening Polymerization of 1,5-Dioxepan-2-one
296. B(C6F5)3-catalyzed group transfer polymerization of alkyl methacrylates with dimethylphenylsilane through in situ formation of silyl ketene acetal by B(C6F5)3-catalyzed 1,4-hydrosilylation of methacrylate monomer

295. Synthesis and thermoresponsive properties of four-arm star-shaped poly(N-isopropylacrylamide)s bearing covalent and non-covalent cores

294. Sub-10 nm Scale Nanostructures in Self-Organized Linear Di- and Triblock Copolymers and Miktoarm Star Copolymers Consisting of Maltoheptaose and Polystyrene

293. Synthesis of Homopolymers, Diblock Copolymers, and Multiblock Polymers by Organocatalyzed Group Transfer Polymerization of Various Acrylate Monomers

292. Synthesis of end-functionalized poly(methyl methacrylate) by organocatalyzed group transfer polymerization using functional silyl ketene acetals and α-phenylacrylates

291. Hierarchical Structures in Thin Films of Miktoarm Star Polymers: Poly(n-hexyl isocyanate)(12K)-Poly(ε-caprolactone)1-3(5K)

290. Stereoblock-like Brush Copolymers Consisting of Poly(L-lactide) and Poly(D-lactide) Side Chains along Poly(norbornene) Backbone: Synthesis, Stereocomplex Formation, and Structure-Property Relationship

289. B(C6F5)3-Catalyzed Group Transfer Polymerization of n-Butyl Acrylate with Hydrosilane through In Situ Formation of Initiator by 1,4-Hydrosilylation of n-Butyl Acrylate

288. Synthesis of α-, ω-, and α,ω-End-Functionalized Poly(n-butyl acrylate)s by Organocatalytic Group Transfer Polymerization Using Functional Initiator and Terminator

287. Synthesis of 3-, 4-, 5-, 6-, 7-, 8-, 9-, 10-, 11-, and 12-armed star-shaped poly(styrene oxide) Ru(II) complexes by a click-to-chelate approach

286. Thermoresponsive properties of 3-, 4-, 6-, and 12-armed star-shaped poly[2-(dimethylamino)ethyl methacrylate]s prepared by core-first group transfer polymerization

285. Bis(4-nitrophenyl) phosphate as an efficient organocatalyst for ring-opening polymerization of β-butyrolactone leading to end-functionalized and diblock polyesters

J. Polym. Sci., Part A: Polym. Chem., 2014, 52, pp 2032-2039.
284. Synthesis of Linear, Cyclic, Figure-Eight-Shaped, and Tadpole-Shaped Amphiphilic Block Copolyethers via t-Bu-P4-Catalyzed Ring-Opening Polymerization of Hydrophilic and Hydrophobic Glycidyl Ethers

283. Binaphthol-derived phosphoric acids as efficient chiral organocatalysts for the enantiomer-selective polymerization of rac-lactide

282. Rod-Like Amphiphile of Diblock Polyisocyanate Leading to Cylindrical Micelle and Spherical Vesicle in Water

281. Diphenyl phosphate/4-dimethylaminopyridine as an efficient binary organocatalyst system for controlled/living ring-opening polymerization of L-lactide leading to diblock and end-functionalized poly(L-lactide)s

J. Polym. Sci., Part A: Polym. Chem., 2014, 52, pp 1047-1054.
280. Synthesis of water-soluble polyisocyanates with the oligo(ethylene glycol) side-chain as new thermoresponsive polymers

279. Precise synthesis of rod-coil type miktoarm star copolymer containing poly(n-hexyl isocyanate) and aliphatic polyester

278. Synthesis, Self-Assembly, and Thermal Caramelization of Maltoheptaose-Conjugated Polycaprolactones Leading to Spherical, Cylindrical, and Lamellar Morphologies

277. Synthesis of Helical Poly(phenylacetylene)s with Amide Linkage Bearing l-Phenylalanine and l-Phenylglycine Ethyl Ester Pendants and Their Applications as Chiral Stationary Phases for HPLC

276. Synthesis and Stereocomplex Formation of Star-Shaped Stereoblock Polylactides Consisting of Poly(L-lactide) and Poly(D-lactide) Arms

275. Synthesis of Star- and Figure-Eight-Shaped Polyethers by t-Bu-P4-Catalyzed Ring-Opening Polymerization of Butylene Oxide

274. Synthesis of block and end-functionalized polyesters by triflimide-catalyzed ring-opening polymerization of ε-caprolactone, 1,5-dioxepan-2-one, and rac-lactide

J. Polym. Sci., Part A: Polym. Chem., 2013, 51, pp 2455-2463.
273. Recent Progress in Organocatalytic Group Transfer Polymerization

272. Diphenyl Phosphate as an Efficient Acidic Organocatalyst for Controlled/Living Ring-Opening Polymerization of Trimethylene Carbonates Leading to Block, End-Functionalized, and Macrocyclic Polycarbonates

271. Sub-10 nm Nano-Organization in AB2- and AB3-Type Miktoarm Star Copolymers Consisting of Maltoheptaose and Polycaprolactone

270. 10 nm Scale Cylinder-Cubic Phase Transition Induced by Caramelization in Sugar-Based Block Copolymers

269. “Helicity Inversion”: Linkage Effects of Chiral Poly(n-hexyl isocyanate)s

268. Colorimetric Detection of Anions in Aqueous Solution Using Poly(phenylacetylene) with Sulfonamide Receptors Activated by Electron Withdrawing Group

267. Well-Defined Functional Linear Aliphatic Diblock Copolyethers: A Versatile Linear Aliphatic Polyether Platform for Selective Functionalizations and Various Nanostructures

266. Effect of Counter Anions on Kinetics and Stereoregularity for the Strong Bronsted Acid-Promoted Group Transfer Polymerization of N,N-Dimethylacrylamide

265. Star Polymer with Cross-linked Core and Water-soluble Poly(N-hydroxyethylacrylamide)-Arms. Synthesis by Arm-first Method using ATRP and Characterizations by SEC-MALS and SAXS Measurement in Water

J. Polym. Sci., Part A: Polym. Chem., 2012, 50, pp 3546-3559.
264. Controlled Polymerization of Methyl Acrylate for High Molecular Weight Polymers by Pentafluorophenylbis(triflyl)methane-Promoted Group Transfer Polymerization Using Triisopropylsilyl Ketene Acetal

J. Polym. Sci., Part A: Polym. Chem., 2012, 50, pp 3560-3566.
263. Synthesis of Syndiotactic-rich Star-shaped Poly(methyl methacrylate) by Core-first Group Transfer Polymerization using N-(Trimethylsilyl)bis(trifluoromethanesulfonyl)imide

J. Polym. Sci., Part A: Polym. Chem., 2012, 50, pp 3277-3285.
262. Fluorescence Turn-on Sensing of Anions Based on Disassembly Process of Urea-Functionalized Poly(phenylenebutadiynylene) Aggregates

261. Synthesis, Morphology, and Sensory Applications of Multifunctional Rod-Coil-Coil Triblock Copolymers and Their Electrospun Nanofibers

260. Synthesis of star-shaped poly(N-isopropylacrylamide) via atom transfer radical polymerization and its photocatalytic oxidation of Rhodamine B

259. Precise synthesis of clickable poly(n-hexyl isocyanate)

258. Synthesis of end-functionalized polyethers by phosphazene base-catalyzed ring-opening polymerization of 1,2-butylene oxide and glycidyl ether

J. Polym. Sci., Part A: Polym. Chem., 2012, 50, pp 1941-1952.
257. Synthesis of High Molecular Weight and End-Functionalized Poly(styrene oxide) by Living Ring-Opening Polymerization of Styrene Oxide using the Alcohol/Phosphazene Base Initiating System

256. Core-First Synthesis of Three-, Four-, and Six-Armed Star-Shaped Poly(methyl methacrylate)s by Group Transfer Polymerization Using Phosphazene Base

255. Chemo-enzymatic synthesis of polyhydroxyalkanoate (PHA) incorporating 2-hydroxybutyrate by wild-type Class I PHA synthase from Ralstonia eutropha
254. Synthesis of a novel one-handed helical poly(phenylacetylene) bearing poly(L-lactide) side chains

253. Preparation of superabsorbent hydrogels from poly(aspartic acid) by chemical crosslinking
252. Synthesis and characterization of well-defined thermo- and light-responsive diblock copolymers by atom transfer radical polymerization and click chemistry

251. Selective synthesis of 1,6-anhydro-β-D-mannopyranose and -mannofuranose using microwave-assisted heating

250. Synthesis of Various End-Functionalized Polyesters by Controlled/Living Ring-Opening Polymerization of Lactones using Pentafluorophenylbis(triflyl)methane as an Efficient Cationic Organocatalyst

J. Polym. Sci., Part A: Polym. Chem., 2011, 49, pp 3769-3777.
249. Synthesis and property study on Eu(III) complexes of modified poly(N-isopropylacrylamide)
248. Guest Release and Solution Behavior of a Hydrogen-bonding Physical Micelle during Chemoresponsive Shell Disruption

247. A Hydrophilic Unimolecular Nanocapsule with Cyclodextrin Moieties in the Core: Chemically Triggered On-demand Release and pH-Response

246. Synthesis of Linear and Star-shaped Poly[4-(diphenylamino)benzyl methacrylate]s by Organocatalyzed Group Transfer Polymerization and Their Electrical Memory Device Applications

245. Organic Superbase as an Efficient Catalyst for Group Transfer Polymerization of Methyl Methacrylate

244. One-pot Synthesis of Polyrotaxane by Clipping and Cyclopolymerization of α,ω-Diethynyl Isophthalamide with Pyridiniumdicarboxamide Chloride

J. Polym. Sci., Part A: Polym. Chem., 2011, 49, pp 3184-3192.
243. Strict Size Specificity in Colorimetric Anion Detection Based on Poly(phenylacetylene) Receptor Bearing Second Generation Lysine Dendrons

241. Synthesis, characterization, and lectin recognition of hyperbranched polysaccharide obtained from 1,6-anhydro-D-hexofuranose

240. Synthesis of Novel Hyperbranched Polymer through Cationic Ring-opening Multibranching Polymerization of 2-Hydroxymethyloxetane

J. Polym. Sci., Part A: Polym. Chem., 2011, 49, pp 2353-2365.
239. Diphenyl Phosphate as an Efficient Cationic Organocatalyst for Controlled/Living Ring-Opening Polymerization of δ-Valerolactone and ε-Caprolactone

238. Precise synthesis of thermo-responsive and water-soluble star-branched polymers and star block copolymers by living anionic polymerization

237. Biosynthesis of a lactate (LA)-based polyester with a 96 mol% LA fraction and its application to stereocomplex formation
236. Syntheses of 3- and 4-Arm Star-Branched Polystyrene Ru(II) Complexes by the Click-to-Chelate Approach

235. Enhancement of Lectin Binding Affinity by Three-dimensional Organized Cluster Glycosides Constructed on Helical Poly(phenylacetylene) Backbones

234. Efficient Colorimetric Anion Detection Based on Positive Allosteric System of Urea-Functionalized Poly(phenylacetylene) Receptor

233. Controlled/Living Ring-Opening Polymerization of δ-valerolactone Using Triflylimide as an Efficient Cationic Organocatalyst

232. Precise Synthesis of Poly(1-Adamantyl Methacrylate) by Atom Transfer Radical Polymerization

231. Group Transfer Polymerization of N,N-Dimethylacrylamide Using the Nobel Efficient System Consisting of Dialkylamino Silyl Enol Ether as an Initiator and Strong Bronsted Acid as an Organocatalyst

230. Pendant Structure Governed Anion Sensing Property for Sulfonamide-Functionalized Poly(phenylacetylene)s Bearing Various a-Amino Acids

J. Polym. Sci., Part A: Polym. Chem., 2010, 48, pp 1683-1689.
229. Thermo-responsive Vesicular Morphologies Obtained by Self-assemblies of Hybrid Oligosaccharide-block-Poly(N-Isopropylacrylamide) Copolymer Systems

228. Structure and Characteristic of Hyperbranched 5,6-Glucan as Reducing Sugar Ball

227. Host-Guest Complexation-Triggered Chiroptical Change of Poly(phenylacetylene)s Bearing Binaphthocrown Ether Moieties on the Main Chain

J. Polym. Sci., Part A: Polym. Chem., 2010, 48, pp 1197-1206.
226. Control of aggregation property of tris(maltohexaose)-linked porphyrins with an alkyl chain

222. Structural effect of a series of block copolymers consisting of poly(N-isopropylacrylamide) and poly(N-hydroxyethylacrylamide) on thermoresponsive behavior
221. Chemo-Enzymatic Synthesis of Poly(lactate-co-(3-hydroxybutyrate)) by a Lactate-Polymerizing Enzyme

220. Efficient Anion Recognition Property of Three Dimensionally Clustered Amide Groups Organized on a Poly(phenylacetylene) Backbone

219. Poly(N-hydroxyethylacrylamide) prepared by atom transfer radical polymerization as a nonionic, water-soluble, and hydrolysis-resistant polymer and/or segment of block copolymer with a well-defined molecular weight

218. Optical and Chiroptical Output of Anion Recognition Event Using Clustered Sulfonamide Groups Organized on Poly(phenylacetylene) Backbone

217. Effect of the Pendant Structure on Anion Signaling Property of Poly(phenylacetylene)s Conjugated to alpha -Amino Acids through Urea Groups

215. Synthesis of Well-Defined Macrocyclic Poly(delta -valerolactone) by "Click Cyclization"

214. Control of Thermoresponsive Proprety of Urea End-Functionalized Poly(N-isopropylacrylamide) Based on the Hydrogen Bond Assisted Self-Assembly in Water

J. Polym. Sci., Part A: Polym. Chem., 2009, 47, pp 6259-6268.
213. Synthesis, thermomorphic characteristics, and fluorescent properties of poly[2,7-(9,9-dihexylfluorene)]-block-poly(N-isopropylacrylamide)-block-poly(N-hydroxyethylacrylamide) rod-coil-coil triblock copolymers

212. LCST-type liquid-liquid and liquid-solid phase transition behaviors of Hyperbranched Polyglycerol having Imidazolium Salt

J. Polym. Sci., Part A: Polym. Chem., 2009, 47, pp 7032-7042.
211. Strong Bronsted Acid as a Highly Efficient Promoter for Group Transfer Polymerization of Methyl Methacrylate

210. Formation of Anhydroglucose in Ionic Liquids by Microwave Heating- Temperature and Chloride Ion Effects